科技型中小企业办理流程示意图表!

 

来源:会计之家   时间:2023-04-07   浏览量:52415次


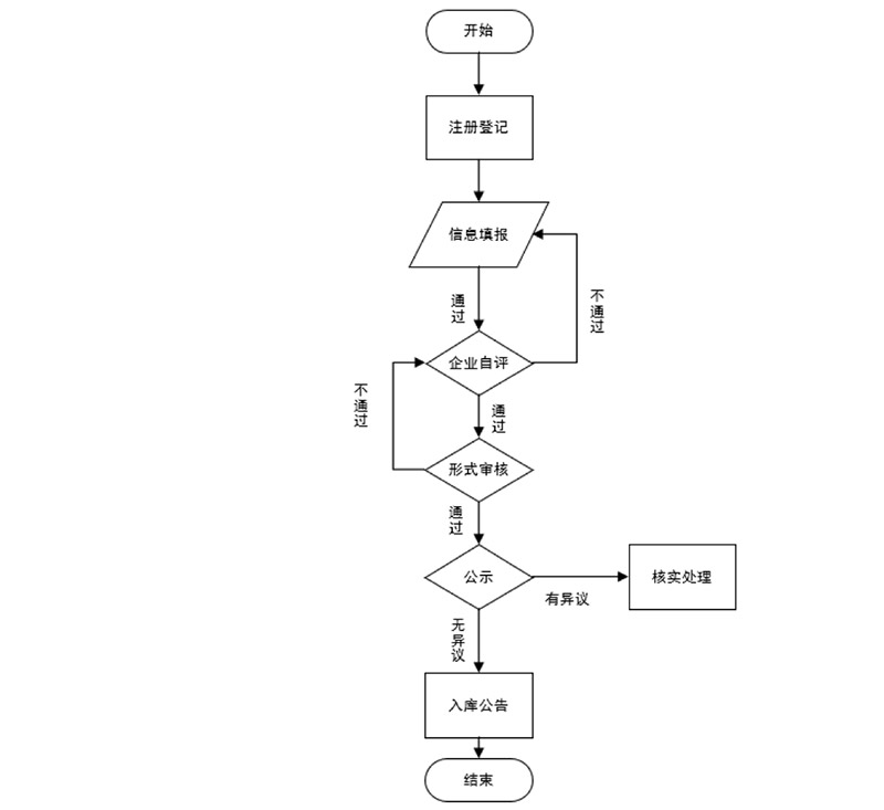
摘要:科技型中小企业办理流程示意图是怎样的?科技型中小企业申请条件是怎样的?科技型中小企业申请平台专业提供办理科技型中小企业服务,包括申请办理科技型中小企业流程,电话,费用等信息。科技型中小企业办理流程示意图表如下。


Responsive image


以上是【会计之家小编整理:科技型中小企业办理流程】,想了解更多相关内容,请访建筑资质栏目>>

会计之家一站式创业服务平台,提供全面、专业、高效的企业服务。包括:代理记账、注册地址出租、代办公司注

册、会计记账、社保代理、会计代理、用友代理、出具审计报告、公司注销、办理公司营业执照、税务筹划服务等。

咨询“会计之家”客服,即可办理相关业务,客服电话 13522780767(刘经理)

Responsive image